产品与服务
PRODUCTS AND SERVICES
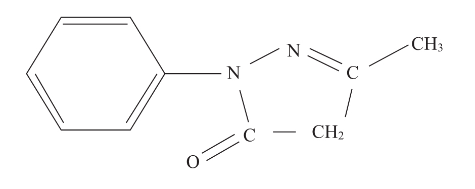
1-苯基-3-甲基-5-吡唑酮
所属分类
吡唑酮系列
产品特性
分子式:C10H10N2O
结构式:

CAS NO.:89-25-8
应用领域:主要用于有机合成C.l.颜料黄60;C.l.颜料橙13;50;C.l.颜粹红41;C.1.酸性橙74;89;C.l.酸性红226及C.1.颜料棕50等品种的偶合组

.
Copyright © 2019 开云网页登录 All Rights Reserved
联系电话:0532-89076010
鲁ICP备14024413号 网站建设:中企动力 青岛
Copyright © 2019 开云网页登录 All Rights Reserved
鲁公网安备 37021202001462号
联系电话:0532-89076010 | 鲁ICP备14024413号 | 网站建设:中企动力 青岛
